Signs of alcohol impairment. The Science Behind Alcohol Intoxication: Causes, Symptoms, and Treatments
What are the signs of alcohol intoxication? How does alcohol affect the body and brain? Discover the science behind alcohol’s impact and the potential dangers of severe alcohol poisoning.
Understanding Alcohol Intoxication
Alcohol intoxication, commonly referred to as drunkenness, is a temporary condition that occurs when a person consumes an excess of alcohol. This condition results from the accumulation of ethanol, the primary chemical compound found in alcoholic beverages, in the body. As the liver struggles to process the alcohol, the excess ethanol molecules begin to disrupt various bodily functions and systems, leading to a range of physical and behavioral symptoms.
Causes of Alcohol Intoxication
The primary cause of alcohol intoxication is the consumption of more alcohol than the body can effectively metabolize. A standard serving of alcohol in the United States is 0.6 fluid ounces (fl oz) or 14 grams (g) of pure alcohol, which corresponds to 12 fl oz of beer with a 5% alcohol content, 5 fl oz of wine with a 12% alcohol content, or 1.5 fl oz of a distilled spirit with a 40% alcohol content.

The rate at which the body metabolizes alcohol varies from person to person, depending on factors such as genetics, body weight, body size, health status, alcohol tolerance, and sex. When a person drinks more alcohol than their liver can process, the excess ethanol molecules begin to accumulate in the body, leading to intoxication.
Stages of Alcohol Intoxication
The symptoms of alcohol intoxication can range from mild to severe, depending on the amount of alcohol consumed and the individual’s rate of metabolism. These symptoms often occur in stages, as outlined in the table below:
| Intoxication Stage | BAC | Symptoms |
|---|---|---|
| Mild | 0.00% to 0.05% | Mild impairments to speech and memory, balance and coordination, attention, and initial sleepiness. Perceived beneficial effects, such as relaxation. |
| Moderate | 0.06% to 0.15% | Increased impairments to speech, attention, balance, and coordination. Moderate memory impairments. Increased risk of aggression and injury to self and others. Significant impairments to skills necessary for driving. Increased perceived beneficial effects, such as relaxation. |
| Severe | 0.16% to 0.30% | Significant impairments to speech, memory, coordination, and balance. Significant impairments to judgment and reaction time. Dangerous impairments to skills necessary for driving. Vomiting, blackouts (amnesia), and loss of consciousness. |
| Life-threatening | 0.31% to 0.45% | Loss of consciousness, danger of a life-threatening alcohol overdose, and suppression of vital functions, leading to a significant risk of death. |
How Alcohol Affects the Body and Brain
When a person drinks alcohol, the ethanol passes through the digestive system and enters the bloodstream through the linings of the stomach and intestines. If an individual drinks alcohol on an empty stomach, their blood alcohol concentration (BAC) usually peaks within 30–90 minutes.

Once ethanol is in the bloodstream, it can travel throughout the body, affecting various functions. Ethanol interferes with the balance of neurotransmitters in the brain by increasing the amount of gamma-aminobutyric acid (GABA), an amino acid that reduces central nervous system activity. Ethanol also increases levels of adenosine, an inhibitory neurotransmitter that promotes sleep.
Additionally, ethanol stimulates the release of dopamine, a feel-good chemical in the brain, which can lead to alcohol dependence. Alcohol also interferes with several other bodily functions, such as temperature regulation, balance and coordination, heart rate, blood pressure, and speech.
Potential Dangers of Severe Alcohol Intoxication
Severe alcohol intoxication, also known as alcohol poisoning, is a dangerous condition that requires immediate medical attention. At blood alcohol concentrations of 0.31% to 0.45%, a person can experience life-threatening symptoms, including loss of consciousness, suppression of vital functions, and a significant risk of death.

It is essential to recognize the signs of severe alcohol intoxication and seek medical help immediately. Symptoms may include vomiting, blackouts, and loss of consciousness. Failure to receive prompt medical treatment can lead to potentially fatal consequences.
Alcohol’s Link to Cancer
In addition to the acute effects of alcohol intoxication, long-term alcohol consumption can also jeopardize overall health. The Department of Health and Human Services classifies alcohol as a carcinogen, a substance that plays a role in causing cancer. The medical community has linked alcohol with numerous types of cancer, such as cancers of the mouth, larynx, and esophagus.
While people can safely consume alcohol without experiencing immediate adverse health effects, it is important to be aware of the potential long-term risks associated with alcohol consumption, including its link to various types of cancer.
Conclusion
Alcohol intoxication is a complex condition that results from the accumulation of ethanol in the body. Understanding the causes, symptoms, and potential dangers of alcohol intoxication is essential for promoting responsible alcohol consumption and preventing serious health consequences. By being informed about the science behind alcohol’s impact on the body and brain, individuals can make more informed decisions about their alcohol use and seek appropriate medical attention when necessary.

Alcohol intoxication: Signs, symptoms, and treatment
Alcohol intoxication refers to a temporary condition that occurs when a person drinks an excess of alcohol at one time.
Alcohol intoxication causes physical and behavioral symptoms that range from mild to severe.
Severe alcohol intoxication — or alcohol poisoning — is a dangerous condition that requires immediate medical attention.
Although people can safely consume alcohol without experiencing immediate adverse health effects, long term alcohol consumption can jeopardize overall health.
The Department of Health and Human Services classifies alcohol as a carcinogen, a substance that plays a role in causing cancer. The medical community has linked alcohol with numerous types of cancer, such as cancers of the mouth, larynx, and esophagus.
Keep reading to learn more about alcohol intoxication, including its causes, symptoms, and treatments.
Share on PinterestOver time, alcohol can cause damage throughout the body.
Alcohol intoxication occurs when a person drinks an excess of alcohol in one period.
A standard serving of alcohol in the United States is 0.6 fluid ounces (fl oz) or 14 grams (g) of pure alcohol. This translates to the following single servings of standard alcoholic drinks:
- 12 fl oz of beer with a 5% alcohol content
- 5 fl oz of wine with a 12% alcohol content
- 1.5 fl oz of a distilled spirit with a 40% alcohol content
The liver removes alcohol from the bloodstream, but it can only filter out so much at once.
The rate at which the body metabolizes alcohol varies from person to person, depending on factors such as:
- genetics
- body weight
- body size
- health status
- alcohol tolerance
- sex
When a person drinks more alcohol than their liver can process, ethanol molecules start accumulating in the body. This can damage tissue cells and organs.
The symptoms of alcohol intoxication range from mild to severe, depending on how much alcohol a person consumes and how quickly their body metabolizes it.
These symptoms often occur in stages, depending on how intoxicated a person is. The table below shows common symptoms at each level of alcohol intoxication.
This data comes from the National Institute on Alcohol Abuse and Alcoholism. It includes information about blood alcohol concentration or content (BAC) — a common way to measure intoxication for medical or legal purposes. BAC refers to how much alcohol is in the bloodstream.
| Intoxication Stage | BAC | Symptoms |
| Mild | 0.00% to 0.05% | mild impairments to speech and memory mild impairments to balance and coordination mild impairments to attention initial sleepiness perceived beneficial effects, such as relaxation |
| Moderate | 0.06% to 0.15% | increased impairments to speech and attention increased impairments to balance and coordination moderate memory impairments increased risk of aggression, in some people increased risk of injury to self and others significant impairments to skills necessary for driving increase in perceived beneficial effects of alcohol, such as relaxation |
| Severe | 0. 16% to 0.30% | significant impairments to speech and memory significant impairments to coordination and balance significant impairments to judgment and reaction time dangerous impairments to skills necessary for driving vomiting blackouts (amnesia) loss of consciousness |
| Life threatening | 0.31% to 0.45% | loss of consciousness danger of a life threatening alcohol overdose suppression of vital functions, leading to a significant risk of death |
People can get individualized BAC estimates using this calculator.
In every U.S. state, it is illegal to drive with a BAC of over 0.08%. A person who drives with a higher BAC is at risk of arrest.
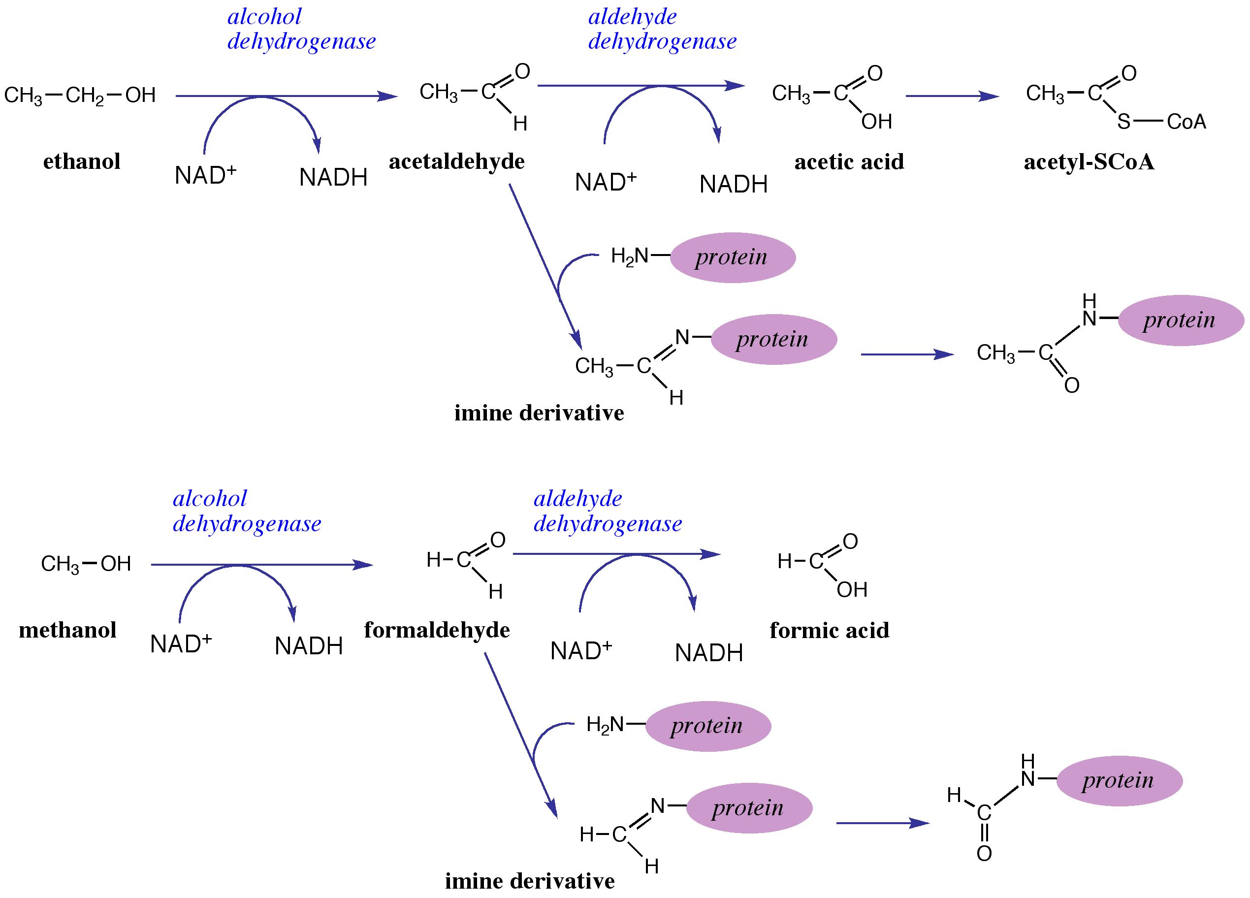
In alcoholic drinks, a chemical compound called ethanol is responsible for the symptoms associated with intoxication. Numerous commercial and household products, such as mouthwash, perfume, and gasoline, also contain ethanol.
When a person drinks alcohol, ethanol passes through the digestive system and enters the bloodstream through the linings of the stomach and intestines.
If an individual drinks alcohol on an empty stomach, their BAC usually peaks within 30–90 minutes.
Once ethanol is inside the bloodstream, it can travel throughout the body, affecting various functions.
Ethanol interferes with the balance of neurotransmitters in the brain by increasing the amount of gamma-aminobutyric acid. This amino acid, often called GABA, reduces central nervous system activity.
Ethanol also increases levels of adenosine, an inhibitory neurotransmitter that promotes sleep.
People may feel euphoric while drinking alcohol because ethanol stimulates the release of dopamine, a feel-good chemical in the brain. This effect on the brain’s dopamine system can lead to alcohol dependence.
Alcohol also interferes with several other bodily functions, such as:
- temperature regulation
- balance and coordination
- heart rate
- blood pressure
- speech
- decision making
- digestion
- reproductive health
- immune function
Learn more about the short- and long-term effects of alcohol consumption here.
A person can usually tell when they are intoxicated, but it may be challenging to spot the signs in others.
To gauge another person’s level of intoxication, try looking for the following signs:
- a loss of coordination, such as stumbling or swaying
- flushing of the face
- bloodshot eyes
- louder speech than usual
- slurred speech
- damp or clammy skin
- mood swings or personality changes, such as aggression or depression
- drowsiness
- slowed reflexes
- vomiting
- a loss of consciousness
Learn more about alcohol and brain damage here.
People cannot treat severe alcohol intoxication — or alcohol poisoning — at home. If anyone shows signs of severe intoxication, contact emergency services immediately. In the U.S., call 911.
Follow these steps while waiting for professional assistance:
- If the person is conscious and can swallow, give them water, and have them lie on their side.
This helps prevent the person from choking if they vomit. - If the person is unconscious, turn them on their side.
In the emergency room, a doctor will check their BAC and look for other signs of alcohol poisoning, such as a slow heart rate and low blood sugar and electrolyte levels.
A healthcare professional will monitor the person’s vital signs while they recover. The doctor or nurse may also:
- administer fluids intravenously — with an IV — to prevent dehydration
- administer vitamins and sugar to treat low blood sugar
- insert a breathing tube to open the airways and provide more oxygen to the body
- pump the stomach to rid the body of excess alcohol
Alcohol intoxication occurs when a person drinks an excess of alcohol in a short period.
A low level of alcohol intoxication causes mild symptoms, while severe intoxication, or alcohol poisoning, can be life threatening. It requires immediate medical attention.
People can survive alcohol poisoning if they receive appropriate treatment.
However, recovery sometimes takes several weeks or months.
Alcohol intoxication: Signs, symptoms, and treatment
Alcohol intoxication refers to a temporary condition that occurs when a person drinks an excess of alcohol at one time.
Alcohol intoxication causes physical and behavioral symptoms that range from mild to severe.
Severe alcohol intoxication — or alcohol poisoning — is a dangerous condition that requires immediate medical attention.
Although people can safely consume alcohol without experiencing immediate adverse health effects, long term alcohol consumption can jeopardize overall health.
The Department of Health and Human Services classifies alcohol as a carcinogen, a substance that plays a role in causing cancer. The medical community has linked alcohol with numerous types of cancer, such as cancers of the mouth, larynx, and esophagus.
Keep reading to learn more about alcohol intoxication, including its causes, symptoms, and treatments.
Share on PinterestOver time, alcohol can cause damage throughout the body.
Alcohol intoxication occurs when a person drinks an excess of alcohol in one period.
A standard serving of alcohol in the United States is 0.6 fluid ounces (fl oz) or 14 grams (g) of pure alcohol. This translates to the following single servings of standard alcoholic drinks:
- 12 fl oz of beer with a 5% alcohol content
- 5 fl oz of wine with a 12% alcohol content
- 1.5 fl oz of a distilled spirit with a 40% alcohol content
The liver removes alcohol from the bloodstream, but it can only filter out so much at once.
The rate at which the body metabolizes alcohol varies from person to person, depending on factors such as:
- genetics
- body weight
- body size
- health status
- alcohol tolerance
- sex
When a person drinks more alcohol than their liver can process, ethanol molecules start accumulating in the body. This can damage tissue cells and organs.
The symptoms of alcohol intoxication range from mild to severe, depending on how much alcohol a person consumes and how quickly their body metabolizes it.
These symptoms often occur in stages, depending on how intoxicated a person is. The table below shows common symptoms at each level of alcohol intoxication.
This data comes from the National Institute on Alcohol Abuse and Alcoholism. It includes information about blood alcohol concentration or content (BAC) — a common way to measure intoxication for medical or legal purposes. BAC refers to how much alcohol is in the bloodstream.
| Intoxication Stage | BAC | Symptoms |
| Mild | 0.00% to 0.05% | mild impairments to speech and memory mild impairments to balance and coordination mild impairments to attention initial sleepiness perceived beneficial effects, such as relaxation |
| Moderate | 0. 06% to 0.15% | increased impairments to speech and attention increased impairments to balance and coordination moderate memory impairments increased risk of aggression, in some people increased risk of injury to self and others significant impairments to skills necessary for driving increase in perceived beneficial effects of alcohol, such as relaxation |
| Severe | 0.16% to 0.30% | significant impairments to speech and memory significant impairments to coordination and balance significant impairments to judgment and reaction time dangerous impairments to skills necessary for driving vomiting blackouts (amnesia) loss of consciousness |
| Life threatening | 0.31% to 0.45% | loss of consciousness danger of a life threatening alcohol overdose suppression of vital functions, leading to a significant risk of death |
People can get individualized BAC estimates using this calculator.
In every U.S. state, it is illegal to drive with a BAC of over 0.08%. A person who drives with a higher BAC is at risk of arrest.
In alcoholic drinks, a chemical compound called ethanol is responsible for the symptoms associated with intoxication. Numerous commercial and household products, such as mouthwash, perfume, and gasoline, also contain ethanol.
When a person drinks alcohol, ethanol passes through the digestive system and enters the bloodstream through the linings of the stomach and intestines. If an individual drinks alcohol on an empty stomach, their BAC usually peaks within 30–90 minutes.
Once ethanol is inside the bloodstream, it can travel throughout the body, affecting various functions.
Ethanol interferes with the balance of neurotransmitters in the brain by increasing the amount of gamma-aminobutyric acid. This amino acid, often called GABA, reduces central nervous system activity.
Ethanol also increases levels of adenosine, an inhibitory neurotransmitter that promotes sleep.
People may feel euphoric while drinking alcohol because ethanol stimulates the release of dopamine, a feel-good chemical in the brain. This effect on the brain’s dopamine system can lead to alcohol dependence.
Alcohol also interferes with several other bodily functions, such as:
- temperature regulation
- balance and coordination
- heart rate
- blood pressure
- speech
- decision making
- digestion
- reproductive health
- immune function
Learn more about the short- and long-term effects of alcohol consumption here.
A person can usually tell when they are intoxicated, but it may be challenging to spot the signs in others.
To gauge another person’s level of intoxication, try looking for the following signs:
- a loss of coordination, such as stumbling or swaying
- flushing of the face
- bloodshot eyes
- louder speech than usual
- slurred speech
- damp or clammy skin
- mood swings or personality changes, such as aggression or depression
- drowsiness
- slowed reflexes
- vomiting
- a loss of consciousness
Learn more about alcohol and brain damage here.
People cannot treat severe alcohol intoxication — or alcohol poisoning — at home. If anyone shows signs of severe intoxication, contact emergency services immediately. In the U.S., call 911.
Follow these steps while waiting for professional assistance:
- If the person is conscious and can swallow, give them water, and have them lie on their side. This helps prevent the person from choking if they vomit.
- If the person is unconscious, turn them on their side.
In the emergency room, a doctor will check their BAC and look for other signs of alcohol poisoning, such as a slow heart rate and low blood sugar and electrolyte levels.
A healthcare professional will monitor the person’s vital signs while they recover. The doctor or nurse may also:
- administer fluids intravenously — with an IV — to prevent dehydration
- administer vitamins and sugar to treat low blood sugar
- insert a breathing tube to open the airways and provide more oxygen to the body
- pump the stomach to rid the body of excess alcohol
Alcohol intoxication occurs when a person drinks an excess of alcohol in a short period.
A low level of alcohol intoxication causes mild symptoms, while severe intoxication, or alcohol poisoning, can be life threatening. It requires immediate medical attention.
People can survive alcohol poisoning if they receive appropriate treatment. However, recovery sometimes takes several weeks or months.
Signs of alcohol and drug intoxication in minors
- Home
- Good to know
- Signs of alcohol and drug intoxication in minors
Signs of alcohol and drug intoxication
Alcohol intoxication is a change in physiological and mental processes resulting from the intake of alcoholic beverages. The first external signs of alcohol intoxication are the appearance of a sparkle in the eyes, some redness of the face. There is a characteristic odor from the mouth. A mild degree of intoxication is characterized by the fact that the emotional background becomes very changeable, joy quickly changes to sadness, and then again to a good mood.
In case of intoxication of moderate severity, more gross changes in human behavior are manifested. Characterized by the inability to restrain their feelings and desires. High spirits are replaced by resentment, irritability, anger, which manifest themselves in aggressive actions. Lost coordination of simple actions. The person is as if inhibited, attention switches slowly. Then drunkenness is replaced by deep sleep. The next day, memories of events and actions are vague.
Signs of drug intoxication are more difficult to notice, especially for those who have never seen people “high”. Drug intoxication is characterized, as a rule, by increased activity in movements. A person speaks quickly and excessively lively, does not respond adequately to questions, has a kind of “shine” in his eyes, sometimes bursts into unreasonable laughter, in general, his condition is characterized by euphoria. Depending on the type of drug used, a teenager’s pupils may be unnaturally narrow or wide, regardless of the lighting.
Slurred, drawn-out speech, clumsy movements in the absence of the smell of alcohol from the mouth should also alert.
The sudden loss of interest in studies and school life, the emergence of a new company should attract the attention of parents. Most of the time the child tends to spend outside the home, with new, unknown to you friends. The teenager begins to lie and hide where he spends his time. Relations with parents are changing: good, even relationships are replaced by unreasonable anger, irritation, aggression.
If the drug is injected, the child begins to wear only long sleeves. The appearance changes – it becomes sloppy, careless, neglected. By the way, it should be borne in mind that the effect of the drug can be quite short-lived, and the end of the effect in an extreme situation for the addict can cause him to withdraw, which will result in a sharp deterioration in the state of this person: he can become depressed, angry, even more excited and aggressive .
It’s no secret that the more parents say “don’t do it,” the more their children want it.
Experts have noticed that most children who use alcohol and drugs actually have very strict parents who do not even talk about such bad habits in the family circle. If you suspect that your child has started using alcohol or drugs, do not try to find excuses and “hide your head in the sand”, as time is your best ally. If a teenager has just tasted the “forbidden fruit”, this does not mean that he is a drug addict or an alcoholic, therefore, the sooner you start taking active steps, the more chances you have to save your child.
health facility
Vetka Central District Hospital
st. Batrakova, 36, 247131, Vetka,
Vetka district, Gomel region
- About us
- Structure
- Administration
- Contacts
- Reception of citizens
- News
- Good to know
- Services
- Trade union activity
90 003 ELECTRONIC RECIPE
External signs and stages of alcohol intoxication
Signs of alcohol intoxication depend on degrees, which are clearly distinguished in medicine.
However, this condition, regardless of the stage, is always characterized by mental, neurological and autonomic disorders.
Signs of a mild degree of alcohol intoxication
An individual who is in such a state feels warmth all over his body, his pulse speeds up, hyperemia of the skin is observed, appetite increases. External signs of alcohol intoxication are also an improvement in mood, a person perceives those around him kindly, there is no aggression, even negative and painful experiences are no longer perceived acutely and do not lead to disorders. Often in this state, people are prone to loud and laudatory speeches, dancing and fun.
In a state of slight intoxication, the quality of work noticeably decreases, errors appear, and attention is scattered. An individual who is in a state of this degree of intoxication, it seems that he is dexterous and smart, but from the outside, inhibited behavior is observed.
Signs of an average degree of alcohol intoxication
This degree of intoxication is characterized by pronounced neurological stigmas, dysarthia (slurred speech), unsteady gait, staggering, ataxia phenomena are observed, in some cases nausea and vomiting appear.
Instead of benevolence, aggression and anger arise, attention is practically absent, but orientation is preserved. The characteristic signs of alcohol intoxication at this stage are an overestimation of one’s behavior and thoughts, in this state a person can express insults and reproaches, lethargy or drowsiness appears, the instinct of self-preservation practically disappears.
Most often, in this state, a person falls asleep, and after waking up he feels weakness, thirst, headaches, depressed mood, decreased appetite, and even memory lapses. If a person is periodically in a state of moderate intoxication and his body is resistant to large volumes of alcohol, then in some cases this can be considered as one of the symptoms of alcoholism.
Signs of severe alcohol intoxication
This is the most dangerous degree for health. Clinical signs of intoxication of this degree are amimia, severe vomiting, incontinence of feces and urine, sometimes cyanotic extremities may appear.
It is almost impossible to wake a person from sleep in this state, it resembles a coma, while the pupils do not react to light, breathing becomes difficult, and the pulse is practically not felt. After awakening and sobering up, a person has no memories, asthenia is observed, and there is no appetite.
Other external signs of alcohol intoxication are observed in the pathological, epileptoid or paranoid form.
Signs of a pathological form of intoxication
The main symptoms of this form are clouding of consciousness, psychosis, mental and physical fatigue, sometimes prostration and indifference may appear. At the same time, the external signs of alcohol intoxication are practically invisible if you do not communicate with a person. Movements are automated, but in rare cases a person can perform strange and asocial acts, motor disturbances, a feeling of fear and incomprehensible statements similar to delirium are possible. It is this form of alcohol intoxication that is considered a frequent cause of crimes and brawls.
Signs of the epileptoid form of intoxication
A person in this form of intoxication differs from others in sharp movements, aggressive and unreasonable behavior, which is accompanied by outbursts of rage. Clinical signs of intoxication, which can be used to determine the epileptoid form, are inhibited and poor speech or its complete absence, fragmentary hallucinations and delirium, and possible silent arousal.
Signs of paranoid intoxication
The main sign of this form is hallucinations and delusions, a person is sure that there are many dangers around him, he is afraid of death, he thinks that someone wants to kill him, sometimes it seems that a whole conspiracy is being planned. In this state, a person ceases to recognize acquaintances, faces are changed, he is afraid of everyone and tries to run away and hide. From the side it seems that being in a state of intoxication acts purposefully. The whole speech is built on separate phrases and expressions, it is impossible to create logical chains and build complex sentences correctly.

16% to 0.30%
This helps prevent the person from choking if they vomit.
06% to 0.15%