D ribose uses. D-Ribose: Comprehensive Guide to Uses, Benefits, and Potential Risks
What is D-ribose and how does it work in the body. How can D-ribose potentially benefit athletes and heart patients. What are the possible side effects and precautions when taking D-ribose supplements.
Understanding D-Ribose: A Crucial Cellular Energy Component
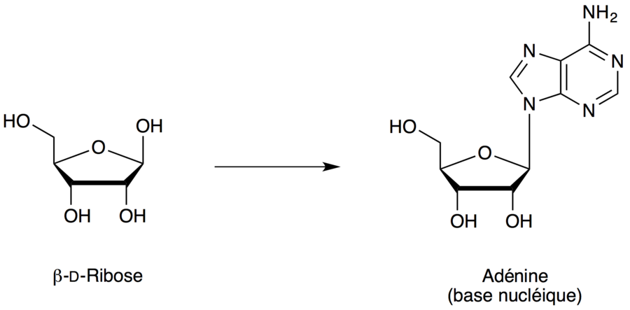
D-ribose, often simply called ribose, is a fundamental sugar molecule that plays a vital role in our body’s energy production processes. As a key component of adenosine triphosphate (ATP), the primary energy currency of cells, ribose is essential for maintaining cellular function and vitality.
But what exactly is D-ribose, and how does it contribute to our body’s energy systems?
- D-ribose is a simple sugar (monosaccharide) naturally produced by the body
- It is a crucial component of DNA and RNA
- D-ribose is integral to the formation of ATP, which powers cellular processes
- The body can synthesize ribose from other nutrients, but supplementation is sometimes used to boost levels
Understanding the role of D-ribose in cellular energy production provides insight into why it has garnered attention in the realms of sports performance and cardiovascular health. As we delve deeper into its potential applications, it’s important to consider both the promising research and the areas where evidence is still lacking.

D-Ribose in Athletic Performance: Separating Fact from Fiction
The use of D-ribose supplements in the world of sports and fitness has been a topic of considerable interest and debate. Many manufacturers market ribose as a performance-enhancing supplement, claiming it can boost endurance, reduce muscle fatigue, and accelerate post-workout recovery. But do these claims hold up under scientific scrutiny?
Despite the marketing hype, current research paints a different picture:
- Multiple studies have failed to demonstrate significant improvements in athletic performance with ribose supplementation
- No conclusive evidence supports claims of increased endurance or reduced muscle fatigue
- The effectiveness of ribose for speeding up post-workout recovery remains unproven
Why hasn’t D-ribose lived up to its promise in sports performance? The answer may lie in the body’s ability to produce sufficient ribose on its own under normal circumstances. In healthy individuals, the natural production of ribose appears to meet the demands of even intense physical activity.

However, it’s important to note that research in this area is ongoing. While current evidence doesn’t support the use of ribose for enhancing athletic performance in the general population, future studies may uncover specific scenarios or populations that could benefit from supplementation.
Potential Benefits of D-Ribose for Heart Health
While the efficacy of D-ribose in sports performance remains questionable, its potential benefits for heart health have shown more promise. Research has indicated that ribose supplementation may offer advantages for individuals with certain cardiovascular conditions.
How might D-ribose benefit heart patients?
- It may help restore ATP levels in heart tissue following a heart attack or angina episode
- Some studies suggest it could improve exercise tolerance in patients with coronary artery disease
- Preliminary research indicates potential improvements in heart function and quality of life for those with congestive heart failure
The mechanism behind these potential benefits relates to the heart’s energy demands. In conditions where the heart doesn’t receive adequate blood and oxygen supply, such as coronary artery disease, the heart’s ATP levels can become depleted. D-ribose supplementation may help replenish these energy stores more quickly, potentially improving heart function and exercise capacity.

However, it’s crucial to note that while these findings are promising, the research is still in its early stages. Many of the studies conducted have been small in scale and have methodological limitations. Larger, more rigorous clinical trials are needed to confirm these potential benefits and establish optimal dosing protocols.
D-Ribose and Angina
One area of particular interest is the potential use of D-ribose in managing angina, a type of chest pain caused by reduced blood flow to the heart. Some research suggests that ribose supplementation may help increase the amount of exercise that patients with angina can comfortably perform. This could be particularly beneficial for cardiac rehabilitation programs and improving the quality of life for individuals with coronary artery disease.
However, it’s essential to emphasize that D-ribose should not be considered a replacement for standard medical treatments for heart conditions. Any use of ribose supplements in managing heart health should be done under the close supervision of a healthcare provider.

D-Ribose in Rare Genetic Disorders and Chronic Conditions
Beyond its potential applications in heart health, D-ribose has been investigated for its possible benefits in certain rare genetic disorders and chronic conditions. While research in these areas is limited, some preliminary findings suggest potential avenues for further investigation.
What conditions have been studied in relation to D-ribose supplementation?
- AMPD (Adenosine Monophosphate Deaminase) Deficiency
- McArdle’s Disease
- Myalgic Encephalomyelitis/Chronic Fatigue Syndrome (ME/CFS)
- Fibromyalgia
In AMPD deficiency, a rare genetic disorder that affects energy production in muscles, some small studies have suggested that ribose supplementation may help prevent post-workout cramps, pain, and stiffness. However, the evidence is still preliminary, and more research is needed to confirm these findings.
For conditions like ME/CFS and fibromyalgia, characterized by persistent fatigue and widespread pain, the potential benefits of D-ribose are still largely theoretical. While some patients report subjective improvements with ribose supplementation, controlled clinical trials have not yet provided strong evidence to support its use in these conditions.

It’s important to note that even in these specialized cases, the efficacy of D-ribose supplementation remains a topic of ongoing research. Patients with these conditions should consult with their healthcare providers before considering ribose supplements, as individual responses may vary, and potential interactions with other treatments need to be considered.
Natural Sources of D-Ribose in Diet
While D-ribose is available as a dietary supplement, it’s also naturally present in various foods. Understanding the dietary sources of ribose can help individuals make informed decisions about their nutrition and supplement use.
What foods contain natural D-ribose?
- Mushrooms
- Beef and poultry
- Dairy products (milk, cheddar cheese, cream cheese, yogurt)
- Eggs
- Fish (anchovies, herring, sardines)
- Caviar
However, it’s important to note that the amount of ribose obtained from these food sources is typically much lower than the doses used in supplement form. The body is generally capable of synthesizing sufficient ribose from other dietary components to meet its needs under normal circumstances.

For individuals considering ribose supplementation, it’s crucial to understand that dietary intake alone is unlikely to provide the levels used in research studies or recommended by supplement manufacturers. This underscores the importance of consulting with a healthcare provider before starting any new supplement regimen, especially for those with pre-existing health conditions or those taking medications.
Safety Considerations and Potential Side Effects of D-Ribose
As with any dietary supplement, it’s crucial to consider the potential risks and side effects associated with D-ribose supplementation. While ribose is generally considered safe for short-term use, long-term safety data is limited, and some individuals may experience adverse effects.
What are the potential side effects of D-ribose supplementation?
- Diarrhea
- Gastrointestinal discomfort
- Nausea
- Headache
- Low blood sugar (hypoglycemia)
The risk of hypoglycemia is particularly important to note, especially for individuals with diabetes or those taking medications that affect blood sugar levels. D-ribose can potentially lower blood glucose levels, which could be dangerous if not properly monitored.

Additionally, there are certain situations where D-ribose supplementation may not be advisable:
- Pregnancy and breastfeeding (due to lack of safety data)
- Prior to surgery (recommended to discontinue use at least two weeks before any scheduled surgery)
- In individuals with a history of low blood sugar or those at risk for hypoglycemia
It’s also important to remember that dietary supplements, including D-ribose, are regulated differently than pharmaceuticals. The FDA does not require pre-market approval for supplements, which means the burden of ensuring safety and efficacy often falls on the manufacturer and the consumer.
Interactions with Medications
D-ribose may interact with certain medications, particularly those used to manage diabetes. These interactions could potentially lead to dangerously low blood sugar levels. Therefore, individuals taking diabetes medications should consult their healthcare provider before using D-ribose supplements.
Other potential drug interactions are not well-studied, highlighting the importance of discussing any supplement use with a healthcare provider, especially for individuals on multiple medications or with complex medical histories.

Dosage and Administration of D-Ribose Supplements
When it comes to D-ribose supplementation, determining the appropriate dosage can be challenging due to the limited research and varying recommendations. It’s crucial to approach supplementation cautiously and under professional guidance.
What factors should be considered when determining D-ribose dosage?
- Individual health status and medical conditions
- Specific goals for supplementation (e.g., heart health, energy support)
- Body weight and metabolism
- Potential interactions with medications or other supplements
In clinical studies, D-ribose doses have ranged widely, typically from 5 to 15 grams per day, often divided into multiple doses. However, it’s important to note that these dosages were used in controlled research settings and may not be appropriate for general use.
Some general guidelines for D-ribose supplementation include:
- Start with a lower dose and gradually increase if needed and tolerated
- Take D-ribose with meals to minimize potential gastrointestinal side effects
- Monitor for any adverse reactions, particularly changes in blood sugar levels
- Discontinue use and consult a healthcare provider if any concerning symptoms occur
It’s worth emphasizing that while some supplement manufacturers may provide dosage recommendations on their products, these are not standardized or regulated by health authorities. Always consult with a healthcare provider to determine the most appropriate and safe dosage for your individual needs.

Forms of D-Ribose Supplements
D-ribose supplements are available in various forms, including:
- Powder (often used for mixing into beverages)
- Capsules or tablets
- Chewable tablets
- Liquid formulations
The choice of form may depend on personal preference, ease of use, and specific health needs. For example, the powder form allows for more flexible dosing but may be less convenient than pre-measured capsules or tablets.
Regardless of the form chosen, it’s crucial to follow the recommended dosage and administration instructions provided by your healthcare provider or the product manufacturer. Proper storage of D-ribose supplements is also important to maintain their potency and prevent degradation.
Ribose: Uses and Risks
Written by Matt McMillen
- Why do people take ribose?
- Can you get ribose naturally from foods?
- What are the risks of taking ribose supplements?
Ribose (d-ribose) is a type of simple sugar, or carbohydrate, that our bodies make.
It is an essential component of adenosine triphosphate (ATP), which supplies energy to our cells.
People take extra ribose for several reasons, most of them related to exercise and sports performance.
It is primarily marketed to athletes.
Manufacturers claim that ribose:
- Increases endurance and energy
- Reduces muscle fatigue
- Speeds up post-workout recovery
However, several studies failed to show any increase in sports performance after taking ribose supplements. As of today, the evidence strongly suggests that ribose does not help athletes.
Ribose has shown some promise for people with coronary artery disease. In those patients, the heart may not get an adequate supply of blood and oxygen during exercise.
This can cause chest pains, or angina.
Some research suggests that ribose supplements may boost the amount of exercise that heart patients are able to do comfortably. The supplements may do this by helping to bring the heart’s ATP levels back to normal after a heart attack or angina episode.
Some studies also show that ribose may improve heart function and quality of life for people with coronary artery disease and congestive heart failure.
But these studies are too small to be conclusive and they have many limitations, such as not being randomized or compared to placebo. More research needs to be done.
Ribose has also been used to prevent post-workout cramps, pain, and stiffness in patients with a rare condition called AMPD deficiency. While a small amount of research supports such a use, it’s too soon to tell whether ribose is truly helpful.
The same can be said for its use in patients with:
- McArdle’s disease
- Myalgic encephalomyelitis/chronic fatigue syndrome
- Fibromyalgia
Ribose can be found in both plants and animals, including:
- Mushrooms
- Beef and poultry
- Cheddar cheese and cream cheese
- Milk
- Eggs
- Caviar
- Anchovies, herring, and sardines
- Yogurt
However, you can’t get enough from food sources to meet the doses recommended by supplement manufacturers.
The safety of ribose has not been fully established. Some people who take ribose report side effects such as:
- Diarrhea
- Gastrointestinal discomfort
- Nausea
- Headache
Ribose may cause low blood sugar when combined with diabetes drugs. People who have or are at risk of low blood sugar levels should probably avoid ribose.
Also, ribose should likely be avoided for at least two weeks before surgery.
Before taking ribose — or any other supplement — talk to your doctor about potential risks. Even so-called natural supplements should be used with caution. The FDA regulates dietary supplements under a different set of regulations from drugs. Generally, manufacturers do not need to get FDA approval before selling dietary supplements. The FDA is responsible for taking action against any unsafe dietary supplement after it reaches the market.
© 2023 WebMD, LLC. All rights reserved. View privacy policy and trust info
Overview, Uses, Side Effects, Precautions, Interactions, Dosing and Reviews
Overview
Ribose is a sugar that is naturally produced by the body from food.
It is a natural part of DNA and RNA and is required for many processes in the body.
Supplemental ribose might prevent muscle fatigue in people with certain genetic disorders that affect energy production by the body. It might also provide extra energy to the heart during exercise in people with heart disease.
People use ribose for heart disease, athletic performance, chronic fatigue syndrome, fibromyalgia, and many other conditions, but there is no good scientific evidence to support these uses.
Uses & Effectiveness ?
Possibly Ineffective for
- Athletic performance. Taking ribose by mouth, alone or with other supplements, doesn’t seem to improve athletic performance in trained or untrained adults.
- A rare, inherited disorder that causes muscle pain and cramping (McArdle disease). Taking ribose by mouth doesn’t appear to improve exercise ability in people with McArdle disease.
There is interest in using ribose for a number of other purposes, but there isn’t enough reliable information to say whether it might be helpful.
Side Effects
When taken by mouth: Ribose is commonly consumed in foods. It is likely safe for most people when taken for up to 1 month as medicine. It can cause some side effects including diarrhea, stomach discomfort, nausea, headache, and low blood sugar. There isn’t enough reliable information to know if ribose is safe to use long-term.
Special Precautions and Warnings
When taken by mouth: Ribose is commonly consumed in foods. It is likely safe for most people when taken for up to 1 month as medicine. It can cause some side effects including diarrhea, stomach discomfort, nausea, headache, and low blood sugar. There isn’t enough reliable information to know if ribose is safe to use long-term.
Pregnancy and breast-feeding: There isn’t enough reliable information to know if ribose is safe to use when pregnant or breast-feeding. Stay on the safe side and stick to food amounts.
Surgery: Since ribose might lower blood sugar, it might interfere with blood sugar control during and after surgery.
Stop taking ribose at least 2 weeks before a scheduled surgery.
Interactions ?
Ribose can lower blood sugar. Insulin is also used to decrease blood sugar. Taking ribose along with insulin might cause your blood sugar to drop too low. The dose of your insulin might need to be changed.
Ribose might lower blood sugar levels. Taking ribose along with diabetes medications might cause blood sugar to drop too low. Monitor your blood sugar closely.
Moderate Interaction
Be cautious with this combination
Dosing
There isn’t enough reliable information to know what an appropriate dose of ribose might be. Keep in mind that natural products are not always necessarily safe and dosages can be important. Be sure to follow relevant directions on product labels and consult a healthcare professional before using.
View References
You Might Also Like
View More
CONDITIONS OF USE AND IMPORTANT INFORMATION: This information is meant to supplement, not replace advice from your doctor or healthcare provider and is not meant to cover all possible uses, precautions, interactions or adverse effects. This information may not fit your specific health circumstances. Never delay or disregard seeking professional medical advice from your doctor or other qualified health care provider because of something you have read on WebMD. You should always speak with your doctor or health care professional before you start, stop, or change any prescribed part of your health care plan or treatment and to determine what course of therapy is right for you.
This copyrighted material is provided by Natural Medicines Comprehensive Database Consumer Version. Information from this source is evidence-based and objective, and without commercial influence. For professional medical information on natural medicines, see Natural Medicines Comprehensive Database Professional Version.
© Therapeutic Research Faculty 2020.
RIBOSE – FOR ENERGY DEFICIENCY
D-ribose is a natural sugar that the body needs for energy production. This is a sugar molecule that our body can produce on its own, but its deficiency can cause severe fatigue and even lead to heart disease. The purpose of D-ribose is to store energy in the body and release it at the right time when you need it. It supports the muscles by helping them function regularly and is associated with maintaining a healthy nervous system. D-ribose is used as a dietary supplement when you are physically very active, exercising regularly, and when you experience extreme fatigue that is difficult to overcome.
Athletes use D-Ribose for better performance. This helps muscles get stronger faster and reduces muscle weakness and inflammation after exercise. D-Ribose repairs muscles, helping to prevent muscle damage after intense exercise. It doesn’t have to be on your menu just in case you are a professional athlete, any training and strengthening of your body can be a reason to include D-Ribose in your menu.
In addition, it helps protect the heart from damage, keeping it working regularly and reducing the risk of heart disease in general.
If you have a huge lack of energy, you can not move, do anything, or get up, so to speak, D-Ribose can help you literally pull yourself together and get off the couch!
What I see the most is the need to use D-Ribose for those who are severely energy deficient, people who are physically unable to do anything and get up, those who cannot bring themselves to leave the room or even go to the gym. If your morning coffee, tea, or smoothie can’t wake you up, take D-ribose right in the morning to fully wake you up. Add it to your daily menu to replenish your energy reserves.
If you feel like you can do more and your energy level is up, move more. Walk, run or play sports. D-ribose also helps increase energy stores during exercise.
This supplement is for you if, for example, you find it difficult to climb stairs without getting tired, or to make walking more comfortable if you feel like you can’t lift your legs.
It makes you live!
D-ribose speeds up the metabolism, having an excellent effect on metabolism. It helps to store energy from food, so it also helps to get energy from food.
However, if you want to get rid of weakness, fatigue and lack of energy even faster, combine your intake of D-ribose with other energy-giving nutrients. For example, use Cytoplan Protein Blend daily, which contains all the essential minerals, vitamins, probiotics, prebiotics and amino acids. All of them are necessary to increase energy levels. Add one tablespoon to your smoothie and take D-ribose with you.
D-Ribose is useful in the prevention of cardiovascular and heart disease, to reduce risk and to support the body when symptoms are present.
For more information on D-ribose see product information HERE .
You use the tips, tricks and information in this article at your own risk. The information provided is Tene Laul’s personal experience, knowledge, opinion and recommendations.
The responsibility for the use of nutritional supplements lies with each individual. If necessary, consult a doctor before use.
energy booster for our body
Ribose is a simple sugar or carbohydrate that occurs naturally in the body and is made up of glucose. It is an important component of adenosine triphosphate (ATP) – a molecule involved in the storage and release of energy, muscle contraction and the propagation of nerve impulses. D-ribose is a structural component of the RNA molecule. The physical properties of the molecule are that it helps to synthesize protein, helps to reduce fatigue and improve athletic performance. The synthetic form of this molecule that is used in supplements is called N-ribose. Its chemical properties are identical to the original element.
The effect of ribose on the body
1. May help restore cellular energy
Ribose is your cell’s energy source, helping to replenish the body’s energy needs for powerful muscle activity.
Numerous studies have tried to find out if ATP supplements can help increase energy stores in cells.
In one study, program participants took 17 grams of D-ribose or a placebo three times a day for three days after 15-stage intense cycling sprints. The researchers assessed muscle ATP levels during those three days and then performed an exercise test consisting of cycling sprints. Tests showed that ATP recovered to normal levels in the D-ribose group, in contrast to the placebo group.
However, during the exercise test, scientists did not notice any difference in performance between the subjects of both groups. Conclusions on the restoration of ATP levels with D-ribose supplements are quite ambiguous.
2. May improve heart function in people with heart disease
Coronary artery disease is characterized by dysfunction of the myocardium and coronary arteries. Patients often complain of a lack of oxygen levels during strenuous exercise. ATP is able to solve this problem by reducing the likelihood of chest pain and angina.
Control groups show that ribose supplementation can improve endurance levels in patients with heart failure. So, light sports and ordinary daily activities will become more comfortable for them. Some research suggests that it may improve heart function and quality of life in people with coronary disease and congestive heart failure. Additional blinded randomization tests are required to establish a sustainable trend of improvement in these control groups.
3. May reduce the symptoms of some pain disorders
Scientists have traced the relationship between D ribose levels and some pain disorders. It is not yet clear whether this supplement can be used as an effective pain reliever, but some studies show a decrease in pain intensity and an increase in mental clarity with regular intake of 15 grams of the substance for a month. However, study participants knew in advance what they were taking, which reduces its value due to the lack of a blind testing method.
Another case study has shown an analgesic effect with d-ribose in women with fibromyalgia, but so far this is not enough to draw definitive conclusions.
Although there are positive biological responses of the body to taking this monosaccharide to reduce pain levels, the results of such experiments are clearly not enough to prescribe it to all patients.
4. May benefit from exercise
The energy-boosting properties of glucose and ribose are relatively little known, but like most carbohydrates, they can provide energy. Sports complexes often contain this supplement to increase the endurance of athletes during intense training. Some research confirms that the body’s synthesis of ATP can aid energy production in people with certain medical conditions.
Possibly carbohydrates can affect the performance of people with a low level of fitness. The group that took 10 grams of ribose per day performed better during sustained exercise compared to the placebo group. Although in a larger sample, most studies did not show significant improvements in endurance and performance, or the effect of supplementation was too weak.
5. May improve body muscle function
While D-ribose may help restore ATP levels in muscle tissue, this may not result in improved performance or endurance. Supplements that contain carbohydrates act as tonics for our body.
The oxidation of monosaccharides plays an important role in the chemistry of carbohydrates. This feature did not bypass ribose, making its functions even more significant.
For example, people with certain genetic conditions that affect normal muscle function may take a supplement to improve their body function. The genetic disease myodenylate deaminase deficiency (MAD) or AMP deaminase deficiency causes unpleasant symptoms such as fatigue, muscle pain or cramps after physical activity. It is most common among representatives of the Asian group, in particular Caucasians.
Scientists report improvements in muscle function and well-being in people with MAD with controlled intake of ribose. At the same time, there is a significant reduction in seizures after intense training, which is a positive sign.
Application of ribose
The monosaccharide is sold in pure form, and modified as D-ribose. The formula of ribose is C5h20O5, it belongs to the class of nucleotides. Because it is a naturally occurring sugar, it has a pleasantly sweet taste, as well as a unique granular structure, somewhat similar to sugar. The powder can be mixed with any drink, added to tea, or made into sweetened water, somewhat similar to lemonade.
There is no standard recommended daily intake of ribose for the body. Based on scientific research, the WHO recommends 5 to 30 grams of the supplement per day. As a training enhancer, athletes typically take up to 5 grams of the substance daily.
Is it possible to get ribose from foods naturally?
Phosphoric acid residues (h4PO4) are part of nucleotides and esterify the D-ribose and 2-deoxy-D-ribose isomers. Ribose is used in genetic transcription, so it must be ingested daily. It can be found in plant and animal foods:
- Mushrooms
- Beef and poultry
- Hard and cream cheese
- Milk and yogurt
- Eggs
- Seafood (anchovies, herring, sardines, caviar)
Like starch, it belongs to monosaccharides, therefore it has the ability to change blood sugar level.
It should be used with caution by diabetics and people prone to lowering sugar levels.
Dosage and side effects of ribose
D-Ribose is generally considered a safe supplement for short term use. However, the body, which is exposed to it for a long time, can get unpleasant consequences for the digestive system. Sometimes patients experience diarrhea, stomach pain, nausea, as well as headache and low blood sugar.
Before surgery, it is advisable to stop taking the monosaccharide 14 days before the proposed procedure. The supplement negatively affects blood sugar levels, which can cause severe discomfort and complications during and after surgery.
The safety of taking the supplement during pregnancy and lactation has not been adequately tested and is therefore not recommended for use during these periods.
Does D-Ribose Raise Blood Sugar?
Being a natural form of sugar and does not affect its blood levels in the same way as sucrose or fructose.
